Week12-14_Lec07 08 Group Theory 群论
本文最后更新于76 天前,其中的信息可能已经过时,如有错误请留言

Binary operations and 二元运算

集合S上的二元运算\(*\)满足:

  • 结合律:对所有\(a, b, c \in S\),有\(a*(b*c) = (a*b)*c\)
  • 交换律:对所有\(a, b \in S\),有\(a*b = b*a\)
  • 封闭性:集合S中任意两个元素组合后,结果仍属于S

常见二元运算:
整数集上的加法\((\mathbb{Z}, +)\) 是
自然数集上的减法\((\mathbb{N}, -)\),它们的差\(2 – 5 = -3\)不属于\(\mathbb{N}\)。因为存在自然数对的差落在\(\mathbb{N}\)之外,减法在自然数集上不满足封闭性,所以减法不是\(\mathbb{N}\)上的二元运算

单位元 identity element

设\((S, *)\)是带有二元运算的集合,若存在元素\(e \in S\),使得对所有\(a \in S\),有\(a * e = e * a = a\),则称e为\((S, *)\)的单位元
单位元在运算中起中性作用,与任意元素组合后仍保持该元素不变

并非所有带二元运算的集合都有单位元,例如正整数集对加法\((\mathbb{Z}_{>0}, +)\)就没有单位元
若二元运算存在单位元,则该单位元唯一

逆元 inverse element

设\((S, *, e)\)是带有二元运算和单位元的集合,对元素\(a\in S\),若存在\(b \in S\),使得\(a * b = b * a = e\),则称b为a的逆元
逆元与原元素组合后得到单位元

加法运算中,a的逆元通常记为\(-a\);乘法运算中,记为\(a^{-1}\)
并非所有元素都有逆元,且逆元若存在则唯一

明确了二元运算、单位元和逆元的概念后,我们来定义抽象代数的核心研究对象

monoid 幺半群

含幺半群是带有二元运算\(*\)的集合M,满足:

  1. Closure 封闭性:对所有\(a, b \in G\),有\(a * b \in G\)
  2. 运算\(*\)满足Associative 结合律;对所有\(a, b, c \in G\),有\((a * b) * c = a * (b * c)\)
  3. Identity 单位元\(e \in G\),使得对所有\(a \in G\),有\(a * e = e * a = a\);

含幺半群捕捉了重复组合有意义所需的最小代数结构,以下结构均为含幺半群:

  • 从集合X到自身的所有函数,以函数复合为运算,恒等函数为单位元
  • \((\mathbb{Z}, +)\),单位元 0
  • \((\mathbb{Z}, \cdot)\),单位元 1
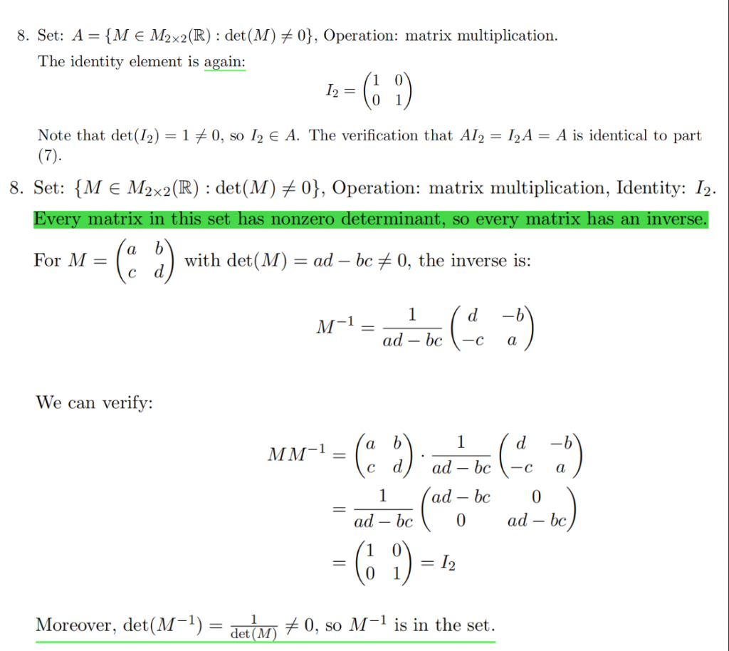
  • \((M_{2×2}(\mathbb{R}), \cdot)\),单位元\(I_2\)
  • 给定字母表上的所有字符串,以连接为运算,空字符串为单位元

当含幺半群中每个元素都有逆元时,便得到更丰富的群结构

Groups 群

群是每个元素都有逆元的含幺半群\((G, *)\)

在 monoid 基础上再加:
4. Inverse 逆元:对每个\(a \in G\),存在\(b \in G\),使得\(a * b = b * a = e\)

以上四条为群公理(注意没有交换律,否则矩阵的很多运算都不能算作群)

\((\mathbb{Z}, \cdot)\):写成这样是因为幺半群由二元运算和集合构成
  1. 加法有封闭性和结合律,单位元是0,a的逆元是-a,是monoid,group
  2. 加法有封闭性和结合律,单位元是0,只有0有逆元,是monoid
  3. 整数乘法有封闭性和结合律,单位元为1,只有\(\pm1\)有乘法逆元\(\Rightarrow\),是monoid
    有理数乘法有封闭性和结合律,单位元为1 ;但0没有逆元\(\Rightarrow\),是monoid
  4. 由于排除了0,所以所有a都有逆元1/a,是Group
  5. 同上没有变化
  6. 元素为实数的2×2 矩阵加法:有封闭性和结合律,单位元是0矩阵,每个矩阵A的逆元是-A,是Group
  7. 元素为实数的2×2 矩阵乘法:由Closure和Associative,单位元是单位矩阵,但是有的矩阵不可逆(行列式为0)所以是monoid
  8. 同上,限定了行列式非0的实矩阵,所以肯定对于所有矩阵都肯定有逆矩阵,是Group

3的详细过程

其他详细证明过程

5的详细过程

8的过程

The integers with binary operation ◦ given by x ◦ y + 1;

模算术\(a \equiv b \pmod{n}\) Modular Arithmetic

设正整数\(n ≥ 2\),若整数a与b的差\(a – b\)能被n整除,则称a与b模n同余,记为\(a \equiv b \pmod{n}\),等价于a和b除以n余数相同
Two integers a and b are congruent modulo n, written a ≡ b(mod n)

这种同余关系将整数集划分为等价类,整数a模n的等价类(或剩余类)为\([a] = \{a + kn: k \in \mathbb{Z}\}\),包含所有与a模n同余的整数。例如,模 6 时,2 的等价类为\([2] = \{…, -10, -4, 2, 8, 14, 20, …\}\),包含所有除以 6 余 2 的整数

模n共有n个不同的等价类,由余数\(0, 1, 2, …, n-1\)表示,定义\(\mathbb{Z}_n = \{[0], [1], [2], …, [n-1]\}\)为这些等价类的集合。为方便起见,常简记元素为\(0, 1, …, n-1\),默认运算为模n算术(即对等价类进行运算)

同余符号

基础定律:

负数的取余运算 a mod b(余数的绝对值小于除数且正负一致)

除数为正数时

余数必须是非负数,余数小于除数

\(-5 \mod 3\)运算的含义是 “求\(-5\)除以3的余数”
分清被除数和除数:所以被除数是 \(-5\)(被除的数),除数是 3
要满足 \(-5 = 3\times q + r\)(\(0\le r<3\)),代入得 \(-5 = 3\times(-2) + 1\);
因此 \(-5 \bmod 3 = \boldsymbol{1}\)

除数为负数时

余数必须是负数,余数的绝对值小于除数的绝对值

更多易错例子:除数小于被除数,除数和被除数含负数,除数和被除数包括0

\((\mathbb{Z}_n, +)\),模n加法

\(\mathbb Z_n=\{0,1,2,\dots,n-1\}\),它表示“模 n 的同余类集合
一般配 模 n 加法:\(a\oplus b = (a+b)\bmod n\)

运算的定义(模n加法):在\(\mathbb{Z}_n\)上定义二元运算\(\oplus\)为:\({a \oplus b := (a + b)\ \text{mod}\ n\quad (a,b \in \mathbb{Z}_n)}\),即先按整数加法相加,再对 n 取模
其中\((a + b)\ \text{mod}\ n\)表示把整数\(a + b\)除以n后所得的余数,其值必属于\(\{0,1,\dots,n-1\}\)

模 n 加法可以理解为“长度为 n 的循环加法”,类似于一个 n 小时制的钟表:超过 n-1 就从 0 重新开始

单位元是0,a的逆元是n-a

证明

集合\(\mathbb{Z}_n\)非空。模n加法是\(\mathbb{Z}_n\)上的二元运算,且因整数加法满足结合律,故模n加法也满足结合律。幺元为0,因为对任意\(a \in \mathbb{Z}_n\),有\(a + 0 \mod n = 0 + a \mod n = a \mod n\)。\(\mathbb{Z}_n\)中元素a的逆元为\(n – a \mod n\)。

\((U_n, \times)\),模n乘法

\(U_n := \{ a \in \{1,2,\dots,n-1\} \mid \gcd(a,n) = 1 \}\),在 0,1,\dots,n-1 里,挑出那些和 n 互素的数
\(U_{10} = \{ a \in \{1,2,\dots,9\} \mid \gcd(a,10) = 1 \}\)
在 1 到 9 里和 10 互素的数是:1,3,7,9(因为 2、4、5、6、8 都和 10 有公因子 2 或 5)
所以:\(U_{10} = \{1,3,7,9\}\)

运算的定义(模 n 乘法):在 \(U_n\) 上定义二元运算 \(\odot\) 为:
\(a \odot b := (ab)\ \text{mod}\ n\quad (a,b \in U_n)\),即先按整数乘法相乘,再对n取模

验证这几个元素构成了群

在模 n 乘法里,对任意 \(a\in U_n\)有\(a\odot 1=(a\cdot 1)\bmod n=a,\qquad 1\odot a=a.\)

比如你刚才的例子 \(U_{10}=\{1,3,7,9\}\):

  • \(3\odot 1=3\)
  • \(9\odot 1=9\)

所以单位元是 1(模 n 意义下的 1)

找到每个元素的逆元

  • \(1^{-1}=1\)
  • \(3^{-1}=7\)(因为 \(3\cdot7\equiv1\pmod{10}\))
  • \(7^{-1}=3\)
  • \(9^{-1}=9\)
  • 对所有整数\(n \geq 2\),\(U_n\)(与模n乘法运算)构成群
  • 集合\(\mathbb{Z}_n^*\)与模n乘法运算构成群,当且仅当n为素数

Properties of groups 群的性质

  • 设G为群,\(a, b, c \in G\)。若\(ba = ca\)(或\(ab = ac\)),则\(b = c\)
  • 设\(a, b \in G\),则\((ab)^{-1} = b^{-1}a^{-1}\)
    • (ab)(b^{-1}a^{-1}) = a(bb^{-1})a^{-1} = aea^{-1} = aa^{-1}=e
    • (b^{-1}a^{-1})(ab) = b^{-1}(a^{-1}a)b = b^{-1}eb = b^{-1}b=e
    • 只有当群就是“非零实数在乘法下”这种情况时,才可以把 \(x^{-1}\)记成\(\frac1x\)
  • 设\(g \in G\),\(m, n \in \mathbb{Z}\),则\(g^m g^n = g^{m+n}\)。

阿贝尔群 Abelian group

若群\((G, *)\)的二元运算\(*\)满足交换律,即对所有\(a, b \in G\)有\(a*b = b*a\),则称\((G, *)\)为阿贝尔群

群的阶 order

G的阶(order)为其元素个数,记为\(|G|\)或\(O(G)\)

群的凯莱表 Cayley table/ Composition table

把群中任意两个元素的运算结果按“行元素 ∘ 列元素”填成的乘法表,用来完整展示该群的运算结构

群的凯莱表性质:

  1. 每行每列中每个元素恰好出现一次(拉丁方性质)
  2. 单位元对应的行和列与表头元素一致;(就是说e和什么运算结果就是什么)
  3. 阿贝尔群的凯莱表关于主对角线对称(因\(g * h = h * g\))

例题:

  • 封闭性:确保运算结果不会超出集合范围
  • 单位元:确保集合里存在 “运算中的中性元素”
  • 逆元:确保每个元素都有对应的 “逆元素”(两者运算后得到单位元)
  • 结合律:确保运算满足 “顺序不影响结果(指括号的结合顺序)

群同态和群同构 homomorphism & isomorphism

  • homo-:侧重 “同类、同质”,强调本质或种类上的相同
    如 homogeneous(同质的)、homo sexual 同性恋的
  • iso-:侧重 “对等、等量、同构”,强调数量、结构、位置等维度的相等,
    如 isotope(同位素,位置相同)、isosceles(等腰的,边长相等)

群的研究不仅限于单个群,还包括群之间的关系

(1) 设\((G, \circ)\)和\((H, *)\)是群,若函数\(\psi: G \to H\)满足对所有\(a, b \in G\)有\(\psi(a \circ b) = \psi(a) * \psi(b)\),则称\(\psi\)为群同态(homomorphism)

当同态是双射时,它在群之间建立了极强的关系

(2) 若同态\(\psi\)是双射(单射+ 满射),则称\(\psi\)为群同构(isomorphism),记为\(G \cong H\),此时称群G与H同构(isomorphic)

同构的群代数上不可区分,结构完全相同,仅元素标记不同。从群论角度看,同构的群被视为 “相同”
设\(\psi: G \to H\)是群同构,则:

  1. \(\psi(e_G) = e_H\) (G的单位元映射到H的单位元)
  2. 对任意整数\(n \in \mathbb{Z}\)和\(a \in G\),有\(\psi(a^n) = (\psi(a))^n\);
  3. 对任意\(a, b \in G\),\(\psi(a)\psi(b) = \psi(b)\psi(a)\)当且仅当\(ab = ba\);
  4. G是阿贝尔群当且仅当H是阿贝尔群;
  5. 定义\(\psi^{-1}: H \to G\)为\(\psi^{-1}(b) = a\)(其中\(b = \psi(a)\)),则\(\psi^{-1}\)是H到G的同构;
  6. 若G是有限群,则H也是有限群且\(o(G) = o(H)\)
  7. isomorphisms preserve element orders 同构会保持元素的阶(关键定理) – 用来证伪两个群同构

同态用相似符号表示,当两个代数系统同构也就意味着性质完全相同,故用全等符号表述

设\(G = (\mathbb{Z}_4, +) = (\{0, 1, 2, 3\}, +)\),\(H = (\{1, i, -1, -i\}, \cdot)\)(i为虚数单位,满足\(i^2 = -1\)),定义\(\psi: G \to H\)为\(\psi(0) = 1\),\(\psi(1) = i\),\(\psi(2) = -1\),\(\psi(3) = -i\)

验证同态:

  • \(\psi(1 + 1) = \psi(2) = -1 = i \cdot i = \psi(1) \cdot \psi(1)\);
  • \(\psi(1 + 2) = \psi(3) = -i = i \cdot (-1) = \psi(1) \cdot \psi(2)\);
  • \(\psi(1 + 3) = \psi(0) = 1 = i \cdot (-i) = \psi(1) \cdot \psi(3)\);
  • \(\psi(2 + 2) = \psi(0) = 1 = (-1) \cdot (-1) = \psi(2) \cdot \psi(2)\);
  • \(\psi(2 + 3) = \psi(1) = i = (-1) \cdot (-i) = \psi(2) \cdot \psi(3)\);
  • \(\psi(3 + 3) = \psi(2) = -1 = (-i) \cdot (-i) = \psi(3) \cdot \psi(3)\)

\(\psi\)是双射(两集合均含 4 个元素且\(\psi\)单射),故为同构,即\(\mathbb{Z}_4 \cong \{1, i, -1, -i\}\)。该同构表明,4 阶循环加法群与 4 次单位根乘法群结构相同

B站习题

Subgroups 子群

定义:设G为群,若非空子集\(H \subseteq G\)满足\((H, *)\)构成群(其中\(*\)是G的二元运算),则称H为G的子群(subgroup),记为\(H \leq G\)。

需明确验证(子集也能单独成群)

  • 封闭:\(x,y \in H \Rightarrow x * y \in H\)
  • 结合律:从G继承(不用单独证)
  • 单位元在H:\(e \in H\)
  • 逆元仍在H:\(x \in H \Rightarrow x^{-1} \in H\)

等价证明:A non-empty subset of a group is a subgroup of if for all x, y ∈ Hx ∗ y ∈ H and x −∈ H.
进一步等价为
若\( H \neq \varnothing \),并且对任意\( a,b \in H \),都有\( ab^{-1} \in H \),则\( H \leq G \)
加法群里对应的是:对任意\( a,b \in H \),有\( a – b \in H \)

群G的中心 centre Z(G)

\(Z(G) = \{ a \in G \mid \text{对所有 } g \in G,\ a * g = g * a \}\)
群中与所有元素都可交换(运算顺序不影响结果)的元素构成的集合
且这个集合也是原群的子群\(Z(G) \leq G\)

判断方法:如果a对应的行列,值完全一样,那么对所有x:\(ax = xa\),说明\(a \in Z(G)\)
第三行和第三列都是 3 4 1 2 8 7 5 6,第一行和第一列都是1 2 3 4 5 6 7 8

中心化子 centraliser \(C_G(g)\)

群G中元素g的中心化子(centraliser):\(C_G(g) = \{h \in G \mid g*h = h*g\} \leq G\)
中心化子 C_G(g) 是“能和指定元素 g 交换的所有元素
中心 Z(G) 是“能和群里所有元素都交换的元素”(即所有中心化子的交集)

循环群cyclic group 生成元generator 群元素的阶\(o(g)\)或\(|g|\)

循环群:
在\((G, *)\)群中,若存在一个元素\(a \in G\),使得对\(\forall x \in G\),都存在\(i \in \mathbb{Z}\),满足
\(x = a^i\),则称\(\lt G,* \gt\)为循环群,记为\(G = \lt a \gt\)
生成元:
称a为该循环群的一个生成元
群元素的阶:

因此在不同的群运算下有不同的含义,比如加法运算的群:

加法群 (G,+)中元素阶的定义

循环子群
群G中的任意元素g的整数幂组成的子集\(<g>=\left\{g^{n} \mid n \in \mathbb{Z}\right\}\)是G的子群
此子群称为由g生成的循环子群,g称为该循环子群的生成元
循环群可看做循环子群的一种特殊情况,即当\(G = \lt a \gt\)是一个循环群时,\(G = \{a^n \mid n \in \mathbb{Z}\}\)

设g是阶为n的循环群G的生成元,则\(g^{k}\)是G的生成元当且仅当\(\gcd(k, n)=1\)(即k与n互质)

判断元素是否为群的生成元:\(k \in \mathbb{Z}_{n}\)是\(\mathbb{Z}_{n}\)的生成元当且仅当\(\gcd(k, n)=1\)

求有限循环群的步骤

循环群的性质

从循环子群的角度解释,若存在\(g \in G\),使得\(<g>=G\),则称群G为循环群

加法群 cyclic(循环):存在某个元素g,使得群中任意元素都可写成ng(\(n\in\mathbb{Z}\)),即\(G=\langle g\rangle=\{ng:n\in\mathbb{Z}\}\)。
乘法群 cyclic(循环):存在某个元素g,使得群中任意元素都可写成\(g^n\)(\(n\in\mathbb{Z}\)),即\(G=\langle g\rangle=\{g^n:n\in\mathbb{Z}\}\)。

没什么用的定理

定理 4:设G是群,\(g \in G\):

  • 若g的阶为无限,则g的所有幂次互不相同,即对\(n \neq m\),有\(g^{n} \neq g^{m}\);
  • 若g的阶为\(o(g)=n\),则\(<g>=\{e, g, \cdots, g^{n-1}\}\)

由阶的定义,对\(k=1, \cdots, n-1\),有\(g^{k} \neq e_{G}\),由此可得两个重要结论:
(1) 元素\(\{e_{G}, g, \cdots, g^{n-1}\}\)互不相同,且\(<g>=o(g)\);
(2) \(g^{k}=e_{G}\)当且仅当\(o(g) \mid k\)(即\(o(g)\)整除k)

定理 5:设G是由g生成的循环群:

  • 若g的阶为无限,则\(G \cong \mathbb{Z}\);
  • 若g的阶为\(o(g)=n\),则\(G \cong \mathbb{Z}_{n}\)。

循环群的每个子群都是循环群;若G是阶为n的循环群,g是其生成元

  • 则G的任意子群的阶都整除n;若\(d>0\)是n的真因子,则G恰有一个阶为\(n/d\)的子群,且该子群由\(g^{n/d}\)生成
  • 推论:设\(d>0\)是n的真因子,则\(<n/d>\)是\(\mathbb{Z}_{n}\)中唯一的d阶子群,且\(\mathbb{Z}_{n}\)的所有子群都具有该形式
  • 定理:设G是n阶循环群,若\(d>1\)且\(d \mid n\),则G中阶为d的元素个数为\(\phi(d)\)(欧拉函数)

置换群 Permutation groups.

定义:集合A的置换是一个双射函数\(\pi: A \to A\),记\(\pi(x)\)为\([x]\pi\)

我们仅考虑集合\(\{1,\cdots,m\}\)的置换。置换就是把 n 个不同元素一一对应地排成一列:第一个有 n 种选法、第二个有 n-1 种……相乘得到总数 n!,所以有限集A(含n个元素)的置换共有\(n!\)个

:定义\(\{1,2,3,4\}\)的置换\(\pi\):
\([1]\pi=2,\ [2]\pi=3,\ [3]\pi=1,\ [4]\pi=4\)

集合\(\{a_{1},\cdots,a_{n}\}\)的置换\(\pi\)可表示为\(2 \times n\)矩阵:上行为A的元素,下行为其在\(\pi\)下的像
\(\pi=\left(\begin{array}{ccc} a_{1} & \cdots & a_{n} \\ {[a_{1}]\pi} & \cdots & {[a_{n}]\pi}\end{array}\right)\)

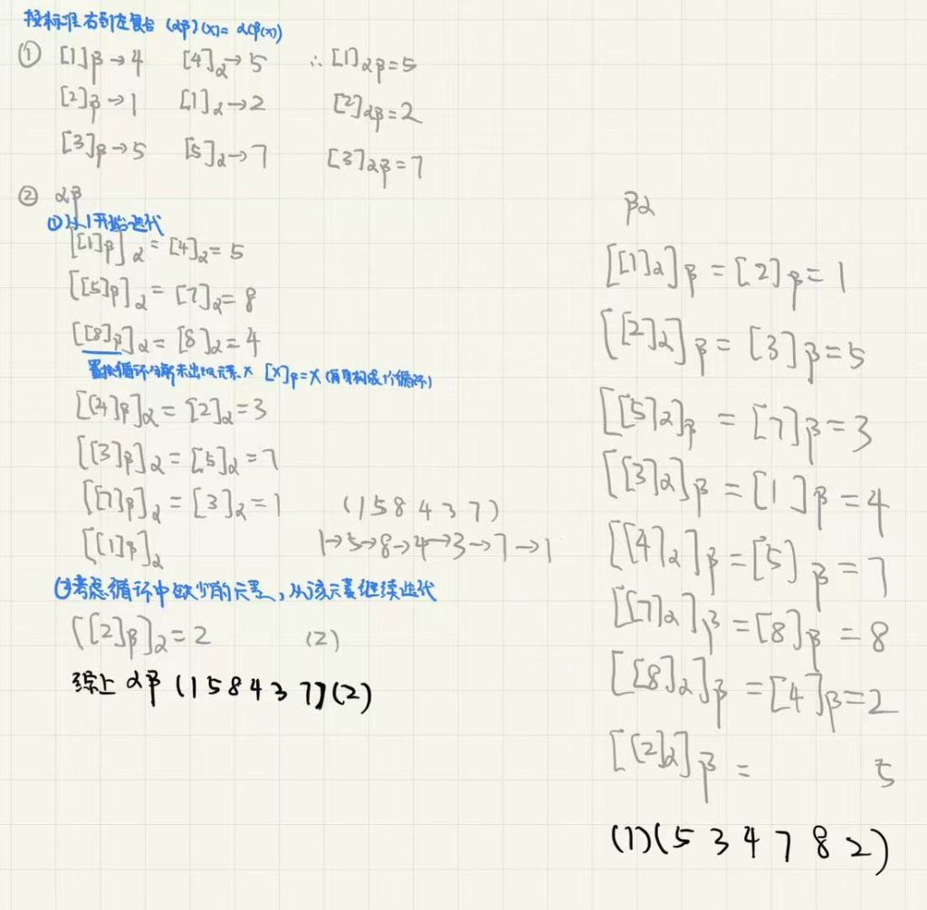
两个置换的复合

求单位置换(对应前后关系不变)

求逆置换

Product of transpositions 对换的乘积

任意一个长度为 k 的轮换,都可以分解成 k−1 个以 a1​ 为公共元素的对换的乘积。

循环 cycle

在置换 \pi 的作用下,一串元素按顺序“一个指向下一个”,最后又回到起点,形成一个圈
是把一个置换用“沿着映射走一圈”的方式写出来的一种表示法

  • 不相交循环(disjoint cycles):指两个循环没有共同的元素。例如 (1 2) 和 (3 4),它们没有共享任何数字,就是不相交的
  • 非不相交循环(non-disjoint cycles):指两个循环有至少一个共同的元素。例如 (1 2) 和 (1 3),它们共享了元素 1,就是非不相交的

规则:

  • 单点循环\((a)\)通常省略不写
  • 若置换的循环分解中未出现元素x,则\([x]\pi=x\)(即x自身构成一个循环)

易错:

定理 12:集合\(A=\{a_{1},a_{2},\cdots,a_{n}\}\)的每个置换都可表示为不相交循环的复合

定理 13:不相交循环\(\alpha=(a_{1},\cdots,a_{m})\)和\(\beta=(b_{1},\cdots,b_{n})\)可交换(即\(\alpha\beta=\beta\alpha\))

对称群 Sn

定义 :对\(n \geq 1\),集合\(\{1,\cdots,n\}\)的所有置换在复合运算下构成群,记为\(S_{n}\),称为对称群
对称群是特殊的置换群,它是最大的置换群

定理 15:对\(n \geq 1\),\(|S_{n}|=n!\)(对称群\(S_{n}\)的阶为n的阶乘)

求逆置换,置换的阶

用不相交循环表示的置换的阶,等于每个循环长度的最小公倍数

Cosets 陪集

左陪集和右陪集 left/right coset:
设G是一个群,H是G的子群,a∈G。包含a的H的左陪集定义为: 在加法群((ℤₙ,ℤ))里:aH = a+H = {a+h | h∈H} 在乘法群(U₂₀)里:aH = {ah | h∈H} 包含a的H的右陪集定义为: Ha = {ha | h∈H}

把它想成“给 H 全体成员统一加一个前缀 a”

引理 1:设 H≤G(H 是 G 的子群),a, b∈G,则:

  1. a∈aH;
  2. aH=H 当且仅当 a∈H;
  3. 要么 aH=bH,要么 aH∩bH=∅;
  4. aH=bH 当且仅当 a⁻¹b∈H;
  5. 若 H 是有限集,则 | aH|=|H|;
  6. aH=Ha 当且仅当 aHa⁻¹=H。

Lagrange’s Theorem 拉格朗日定理

设 G 是有限群,\(H \subset G\) 是子群,则 H 的阶整除 G 的阶(记为 \(|H| \mid |G|\)),且 H 在 G 中的不同陪集个数为 \(|G| / |H|\)

例子:

例题:

用 拉格朗日定理:子群阶 |H| 必须 整除 群阶 |G|。

所以“所有可能子群阶数”就是该数的所有正因子。注意:这只是“可能的”,拉格朗日定理给出了子群阶数的必要条件,不保证每个因子都一定存在对应子群。

例题:

推论:

设 G 是有限群,则对所有 \(a \in G\),\(o(a) \mid |G|\),且 \(a^{|G|} = e_G\)。

任何素数阶群都是循环群

欧拉定理

Fermat’s little theorem 费马小定理:设 p 是素数,\(a \in \mathbb{Z}\) 满足 素数p不整除整数,则 \(a^{p-1} \equiv 1 \pmod{p}\)。也可写为\[ a^{p-1} \mod p = 1 \]

Euler’s theorem 欧拉定理:设 \(a, n\) 是整数,\(n \geq 2\) 且 \(\gcd(a, n) = 1\),则 \(a^{\phi(n)} \equiv 1 \pmod{n}\)
ϕ(n) 是欧拉函数,表示 “1 到n−1中与n互质的整数个数”;

例题

证明H是G的子群

  • 证明H是G的一部分
  • a*b 属于H
  • a^-1属于H

\(\mathrm{GL}_2(\mathbb R)\): 一般线性群(general linear group):所有可逆的 2\times2 实矩阵的集合
\(\mathrm{Mat}_2(\mathbb R)\): 所有 2\times 2 实矩阵的集合(matrix space)

证明两个群不同构不需要按照定义

在群论里,\(a^{-1}\) 的意思是 a 的逆元,不一定是数的 \(\frac{1}{a}\)。

学习笔记如有侵权,请提醒我,我会马上删除
暂无评论

发送评论 编辑评论


				
|´・ω・)ノ
ヾ(≧∇≦*)ゝ
(☆ω☆)
(╯‵□′)╯︵┴─┴
 ̄﹃ ̄
(/ω\)
∠( ᐛ 」∠)_
(๑•̀ㅁ•́ฅ)
→_→
୧(๑•̀⌄•́๑)૭
٩(ˊᗜˋ*)و
(ノ°ο°)ノ
(´இ皿இ`)
⌇●﹏●⌇
(ฅ´ω`ฅ)
(╯°A°)╯︵○○○
φ( ̄∇ ̄o)
ヾ(´・ ・`。)ノ"
( ง ᵒ̌皿ᵒ̌)ง⁼³₌₃
(ó﹏ò。)
Σ(っ °Д °;)っ
( ,,´・ω・)ノ"(´っω・`。)
╮(╯▽╰)╭
o(*////▽////*)q
>﹏<
( ๑´•ω•) "(ㆆᴗㆆ)
😂
😀
😅
😊
🙂
🙃
😌
😍
😘
😜
😝
😏
😒
🙄
😳
😡
😔
😫
😱
😭
💩
👻
🙌
🖕
👍
👫
👬
👭
🌚
🌝
🙈
💊
😶
🙏
🍦
🍉
😣
Source: github.com/k4yt3x/flowerhd
颜文字
Emoji
小恐龙
花!
上一篇
下一篇